GRUPO CARBONILO
es uno de los grupos más importantes en la naturaleza, y esta presente en las cetonas, aldehido, grupo carboxilico y sus derivados que son ésteres y tioéster. Es el grupo quimico que se representa cuando un carbono tiene un doble enlace con un oxigeno.
ALDEHIDOS: son compuestos organicos caracterizados por poseer el grupo funcional -CHO
Se denominan como los alcoholes correspondientes, cambiando la terminación -ol por -al; es decir, el grupo carbonilo H-C=O está unido a un solo radical orgánico.
Propiedades físicas
La doble unión del grupo carbonilo son en parte covalentes y en parte iónicas dado que el grupo carbonilo está polarizado debido al fenómeno de resonancia.
Los aldehídos con hidrógeno sobre un carbono sp³ en posición alfa al grupo carbonilo presentan isomería tautomérica.Los aldehídos se obtienen de la deshidratación de un alcohol primario, se deshidratan con permanganato de potasio, la reacción tiene que ser débil , las cetonas también se obtienen de la deshidratación de un alcohol , pero estas se obtienen de un alcohol secundario e igualmente son deshidratados como permanganato de potasio y se obtienen con una reacción débil , si la reacción del alcohol es fuerte el resultado será un ácido carboxílico.
Propiedades químicas
Se comportan como reductor, por oxidación el aldehído da ácidos con igual número de átomos de carbono.
- La reacción típica de los aldehídos y las cetonas es la adición nucleofílica.
Cuando la cadena contiene dos funciones aldehído se emplea el sufijo -dial.
Regla 2. El grupo -CHO se denomina -carbaldehído o -formil. Este tipo de nomenclatura es muy útil cuando el grupo aldehído va unido a un ciclo. La numeración del ciclo se realiza dando localizador 1 al carbono del ciclo que contiene el grupo aldehído.
Regla 3. Cuando en la molécula existe un grupo prioritario al aldehído, este pasa a ser un sustituyente que se nombra como oxo- o formil-.
* Tanto -carbaldehído como formil- son nomenclaturas que incluyen el carbono del grupo carbonilo. -carbaldehído se emplea cuando el aldehído es grupo funcional, mientras que formil- se usa cuando actúa de sustituyente.
Regla 4. Algunos nombres comunes de aldehídos aceptados por la IUPAC son:
CETONAS: Una cetona es un compuesto orgánico caracterizado por poseer un grupo funcional carbonilo unido a dos átomos de carbono, a diferencia de un aldehído, en donde el grupo carbonilo se encuentra unido al menos a un átomo de hidrógeno.
El tener dos átomos de carbono unidos al grupo carbonilo, es lo que lo diferencia de los ácidos carboxílicos, aldehídos, ésteres. El doble enlace con el oxígeno, es lo que lo diferencia de losalcoholes y éteres. Las cetonas suelen ser menos reactivas que los aldehídos dado que los grupos alquílicos actúan como dadores de electrones por efecto inductivo.
El punto de ebullición de una cetona aumenta según se incrementa el tamaño de la molécula. Esto se debe a la intervención de las fuerzas de van der Waals y la de dipolo-dipolo, las cuales hacen que se requiera una mayor cantidad de energía para separar los átomos y electrones atraídos dentro de molécula.
Solubilidad: La solubilidad de las cetonas tiene una fuerte influencia en parte de la capacidad de estas moléculas para aceptar hidrógenos en su átomo de oxígeno y así formar enlace de hidrógeno con el agua. Además, se forman fuerzas de atracción, de dispersión y dipolo-dipolo entre las cetonas y el agua, las cuales incrementan su efecto soluble.
Las cetonas pierden capacidad de solubilidad mientras más grande sea su molécula, ya que comienzan a requerir más energía para disolverse en agua. También son solubles en compuestos orgánicos.
Regla 1. Las cetonas se nombran sustituyendo la terminación -ano del alcano con igual longitud de cadena por -ona. Se toma como cadena principal la de mayor longitud que contiene el grupo carbonilo y se numera para que éste tome el localizador más bajo.
Regla 2. Existe un segundo tipo de nomenclatura para las cetonas, que consiste en nombrar las cadenas como sustituyentes, ordenándolas alfabéticamente y terminando el nombre con la palabra cetona.
Regla 3. Cuando la cetona no es el grupo funcional de la molécula pasa a llamarse oxo-.
Propiedades Físicas: Sus estructuras hacen suponer que los ácidos carboxílicos sean moléculas polares y tal como los alcoholes, pueden formar puentes de hidrógeno entre sí y con otros tipos de moléculas. Los ácidos carboxílicos se comportan en forma similar a los alcoholes en cuanto a sus solubilidades : los primeros cuatro son miscibles con agua, el ácido de cinco carbonos es parcialmente soluble y los superiores son virtualmente insolubles. La solubilidad en agua se debe a los puentes de hidrógeno entre el ácido carboxílico y el agua. Los olores de los ácidos alifáticos inferiores progresan desde los fuertes e irritantes del fórmico y del acético hasta los abiertamente desagradables del butírico, valeriánico y caproico; los ácidos superiores tienen muy poco olor debido a sus bajas volatilidades.

Cuando el ácido tiene sustituyentes, se numera la cadena de mayor longitud dando el localizador más bajo al carbono del grupo ácido. Los ácidos carboxílicos son prioritarios frente a otros grupos, que pasan a nombrarse como sustituyentes.

Los ácidos carboxílicos también son prioritarios frente a alquenos y alquinos. Moléculas con dos grupos ácido se nombran con la terminación -dioico.

Cuando el grupo ácido va unido a un anillo, se toma el ciclo como cadena principal y se termina en
-carboxílico.

Los ésteres dan sabor y olor a muchas frutas y son los constituyentes mayoritarios de las ceras animales y vegetales.
Los ésteres pueden participar en los enlaces de hidrógeno como aceptadores, pero no pueden participar como dadores en este tipo de enlaces, a diferencia de los alcoholes de los que derivan. Esta capacidad de participar en los enlaces dehidrógeno les convierte en más hidrosolubles que los hidrocarburos de los que derivan. Pero las ilimitaciones de sus enlaces de hidrógeno los hace más hidrofóbicos que los alcoholes o ácidos de los que derivan. Esta falta de capacidad de actuar como dador de enlace de hidrógeno ocasiona el que no pueda formar enlaces de hidrógeno entre moléculas de ésteres, lo que los hace más volátiles que un ácido o alcohol de similar peso molecular.
Regla 1. Los ésteres proceden de condensar ácidos con alcoholes y se nombran como sáles del ácido del que provienen. La nomenclatura IUPAC cambia la terminación -oico del ácido por -oato, terminando con el nombre del grupo alquilo unido al oxígeno.
Regla 2. Los esteres son grupos prioritarios frente a aminas, alcoholes, cetonas, aldehídos, nitrilos, amidas y haluros de alcanoilo. Estos grupos se nombran como sustituyentes siendo el éster el grupo funcional.
Regla 3. Ácidos carboxílicos y anhídridos tienen prioridad sobre los ésteres, que pasan a nombrarse como sustituyentes (alcoxicarbonil......)
Regla 4. Cuando el grupo éster va unido a un ciclo, se nombra el ciclo como cadena principal y se emplea la terminación -carboxilato de alquilo para nombrar el éster.
NOMBRA LAS SIGUIENTES
ESTRUCTURAS:
SOLUCIONES:
a. Pent-3-enal
b.
2-metilpropanal
c.
Propanodial
d.
5-hidroxihexan-2-ona
e.
But-3-inal
f.
3-metoxiciclopentanona
g.
3-fenilhexanodial
h.
5-hidroxi-4-oxohexanal
i.
3-oxociclohexanocarbaldehido
j.
2,2-dimetilpropanodial
k.
3-formilbutanodial
l.
4-hidroxi-3-oxobutanal
DIBUJA LA ESTRUCTURA DE LOS SIGUIENTES
ALDEHIDOS Y CETONAS:
A.
Etanal
B.
3-metilbutanal
C.
Benzaldehído
D.
4-hidroxiciclohexanocarbaldehido
E.
3-hidroxi-4-metil-5-oxociclohexanocarbaldehido
F.
2-metil-2,5-octanodiona
G.
2,5-dioxooctanodial
H.
1,3-ciclohexanodiona
I.
3-metil-3-pentenal
J.
3-oxobutanal
K.
3-hidroxiciclopentanona
L.
4-etoxi-5-fenil-3-oxoheptanal
SOLUCION:
NOMBRA LAS SIGUIENTES ESTRUCTURAS:
SOLUCION:
a.
Etanoato de metilo
b.
Etanoato de etilo
c.
Metanoato de metilo
d.
Ciclohexanocarboxilato de metilo
e.
3-hidroxibutanoato de metilo
f.
6-oxociclohept-3-enocarboxilato de metilo
g.
4-bromo-3-hidroxibutanoato de etilo
h.
3-oxopent-4-enoato de metilo
i.
Metanoato de isopropilo
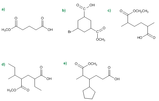
NOMBRA LAS SIGUIENTES ESTRUCTURAS EN LAS QUE EL GRUPO ÉSTER ACTUA COMO SUSTITUYENTE:
SOLUCION:
a.
Acido-4-metoxicarbonilbutanoico
b.
Acido-3-bromo-5-metoxicarbonilciclohexanocarboxilico
c.
Acido-5-etoxicarbonilhexanoico
d.
Acido-2-etil-5-metil-4-metoxicarbonilheptanoico
e.
Acido-4-ciclopentil-5-metoxicarbonilhexanoico
DIBUJA LAS SIGUIENTES ESTRUCTURAS:
a.
Metanoato de metilo
b.
Metanoato de etilo
c.
Metanoato de isopropilo
d.
Metanoato de tert-butilo
e.
2-hidroxibutanoato de metilo
f.
3-oxobutanoato de etilo
g.
3-metilciclohexanocarboxilato de etilo
h.
But-3-enoato de propilo
i.
Propanodiato de dietilo
j.
2,3-dihidroxibutanodioato de dimetilo
k.
2-oxociclobutanocarboxilato de metilo
l.
Hexanoato de ciclohexilo
SOLUCION:












Revisado
ResponderBorrar